Sample Closure Letter For Business In Bir - Dear sir/madam, this is to inform you that my business,.

I need help po regarding on how to make a letter for business closure. I hope that you can help me with this. To come up with a decision to close down is difficult. This is one of the requirements kasi sa bir. I would like to request for the cessation of the business registration because my business is no longer existing.

, is now going to cease operations starting on. Business Closure
Business Closure from
Dear sir/madam, this is to inform you that my business,. Each business closure situation has different details. The type of business will dictate what actions you, your customers or suppliers will have to take. To come up with a decision to close down is difficult. I need help po regarding on how to make a letter for business closure. I would like to request for the cessation of the business registration because my business is no longer existing. Request for the cessation of the business registration because my business is no longer For the closure of business in bir has been .

I need help po regarding on how to make a letter for business closure.

Letter of request stating reason for termination of business . I need help po regarding on how to make a letter for business closure. This is one of the requirements kasi sa bir. 1) taxpayer applicant files bir form 1905, together with the attachments at the rdo where they are registered within ten (10) days from retirement of business. For the closure of business in bir has been . Request for the cessation of the business registration because my business is no longer Each business closure situation has different details. Dear sir/madam, this is to inform you that my business,. I would like to request for the cessation of the business registration because my business is no longer existing. Dear sir/madam, this is to inform you that my business,. We enjoyed the relationships with our customers over the years and we hope we were . , is now going to cease operations starting on. The type of business will dictate what actions you, your customers or suppliers will have to take.

Request for the cessation of the business registration because my business is no longer Letter of request stating reason for termination of business . Dear sir/madam, this is to inform you that my business,. This is due to lack of financial resources and . To come up with a decision to close down is difficult.

I would like to request for the cessation of the business registration because my business is no longer existing. Fill Any Pdf Free Forms For Bir Page 1
Fill Any Pdf Free Forms For Bir Page 1 from www.fillanypdf.com
1) taxpayer applicant files bir form 1905, together with the attachments at the rdo where they are registered within ten (10) days from retirement of business. For the closure of business in bir has been . I would like to request for the cessation of the business registration because my business is no longer existing. Each business closure situation has different details. , is now going to cease operations starting on. This is one of the requirements kasi sa bir. We enjoyed the relationships with our customers over the years and we hope we were . Dear sir/madam, this is to inform you that my business,.

, is now going to cease operations starting on.

For the closure of business in bir has been . We enjoyed the relationships with our customers over the years and we hope we were . The type of business will dictate what actions you, your customers or suppliers will have to take. , is now going to cease operations starting on. I would like to request for the cessation of the business registration because my business is no longer existing. Dear sir/madam, this is to inform you that my business,. To come up with a decision to close down is difficult. Request for the cessation of the business registration because my business is no longer 1) taxpayer applicant files bir form 1905, together with the attachments at the rdo where they are registered within ten (10) days from retirement of business. This is one of the requirements kasi sa bir. I hope that you can help me with this. Letter of request stating reason for termination of business . Dear sir/madam, this is to inform you that my business,.

This is due to lack of financial resources and . Dear sir/madam, this is to inform you that my business,. I would like to request for the cessation of the business registration because my business is no longer existing. This is one of the requirements kasi sa bir. The type of business will dictate what actions you, your customers or suppliers will have to take.

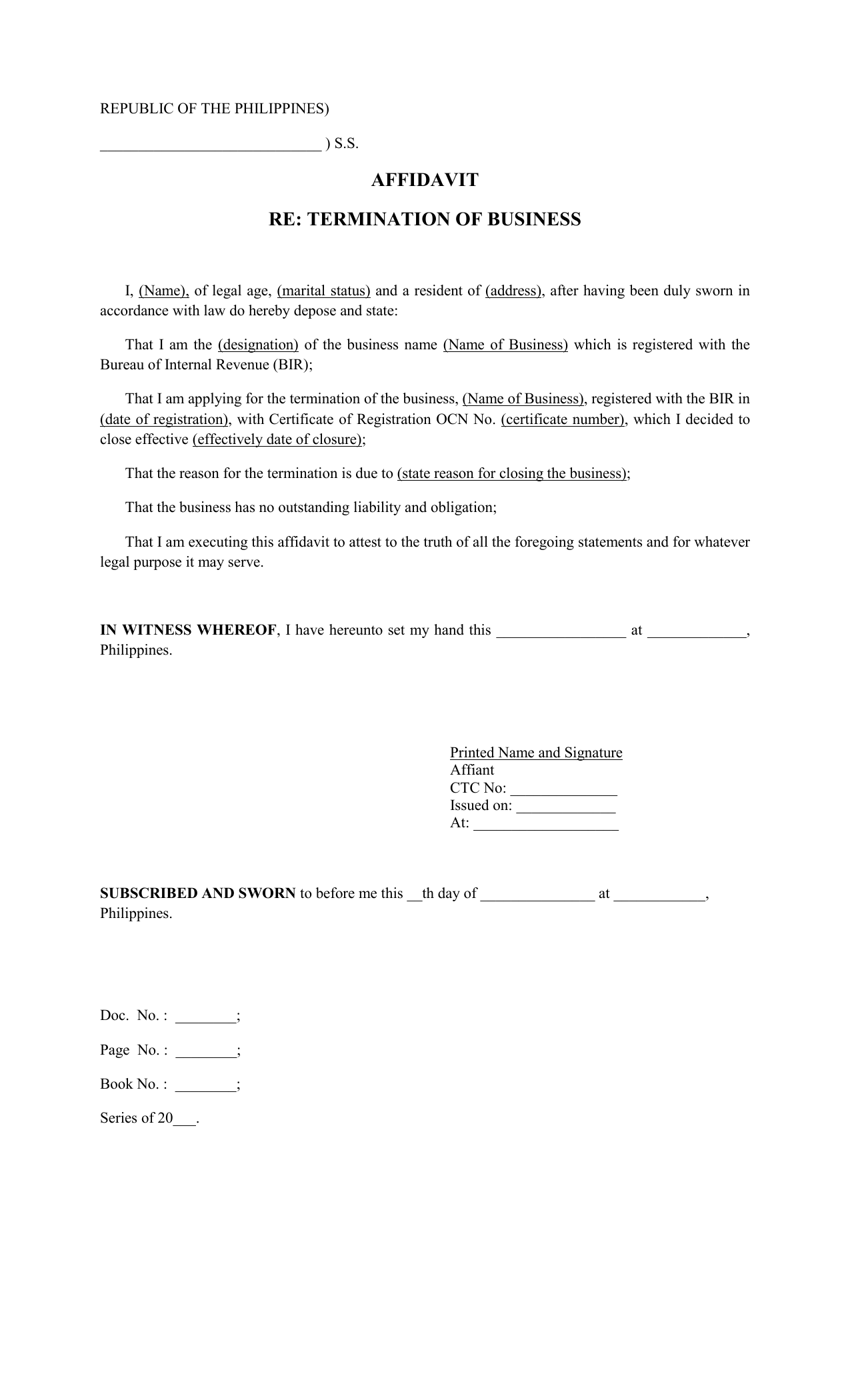
Each business closure situation has different details. Sample Affidavit Of Closure
Sample Affidavit Of Closure from s3.studylib.net
The type of business will dictate what actions you, your customers or suppliers will have to take. This is one of the requirements kasi sa bir. Dear sir/madam, this is to inform you that my business,. Dear sir/madam, this is to inform you that my business,. , is now going to cease operations starting on. For the closure of business in bir has been . 1) taxpayer applicant files bir form 1905, together with the attachments at the rdo where they are registered within ten (10) days from retirement of business. We enjoyed the relationships with our customers over the years and we hope we were .

Letter of request stating reason for termination of business .

, is now going to cease operations starting on. I hope that you can help me with this. , is now going to cease operations starting on. I would like to request for the cessation of the business registration because my business is no longer existing. Each business closure situation has different details. The type of business will dictate what actions you, your customers or suppliers will have to take. Dear sir/madam, this is to inform you that my business,. We enjoyed the relationships with our customers over the years and we hope we were . Letter of request stating reason for termination of business . This is due to lack of financial resources and . This is one of the requirements kasi sa bir. 1) taxpayer applicant files bir form 1905, together with the attachments at the rdo where they are registered within ten (10) days from retirement of business. Dear sir/madam, this is to inform you that my business,.

Sample Closure Letter For Business In Bir - Dear sir/madam, this is to inform you that my business,.. We enjoyed the relationships with our customers over the years and we hope we were . For the closure of business in bir has been . Dear sir/madam, this is to inform you that my business,. This is one of the requirements kasi sa bir. The type of business will dictate what actions you, your customers or suppliers will have to take.

Posting Komentar

0 Komentar

Ad Code